首 页
法院概况
新闻中心
诉讼服务
法院公告
司法公开
司法改革
队伍建设
法院简介
法院领导
内设部门
法官信息
执行人员信息
司法辅助人员信息
调解名册
机构名册
任职回避
本院位置
院长致辞
法院动态
媒体聚焦
法治新闻
图片新闻
诉讼指南
诉讼文书模板
法律法规
典型案例
制度建设
送达公告
其他公告
司法委托
采购公告
预决算公开
工作报告
年度报告
司法统计数据
收结案动态数据
司法实证分析
司法白皮书
执行惩戒信息
审判流程
庭审直播
裁判文书
本院审理的重大案件信息
失信被执行人
终本案件清单
终本裁定书
执行举报
旁听
司法改革总体方案
改革任务进展动态
立案登记配套制度
立案登记动态数据
法院党建
网上院史馆
举报方式
送达公告
你所在位置:
首页
>
法院公告
>
送达公告
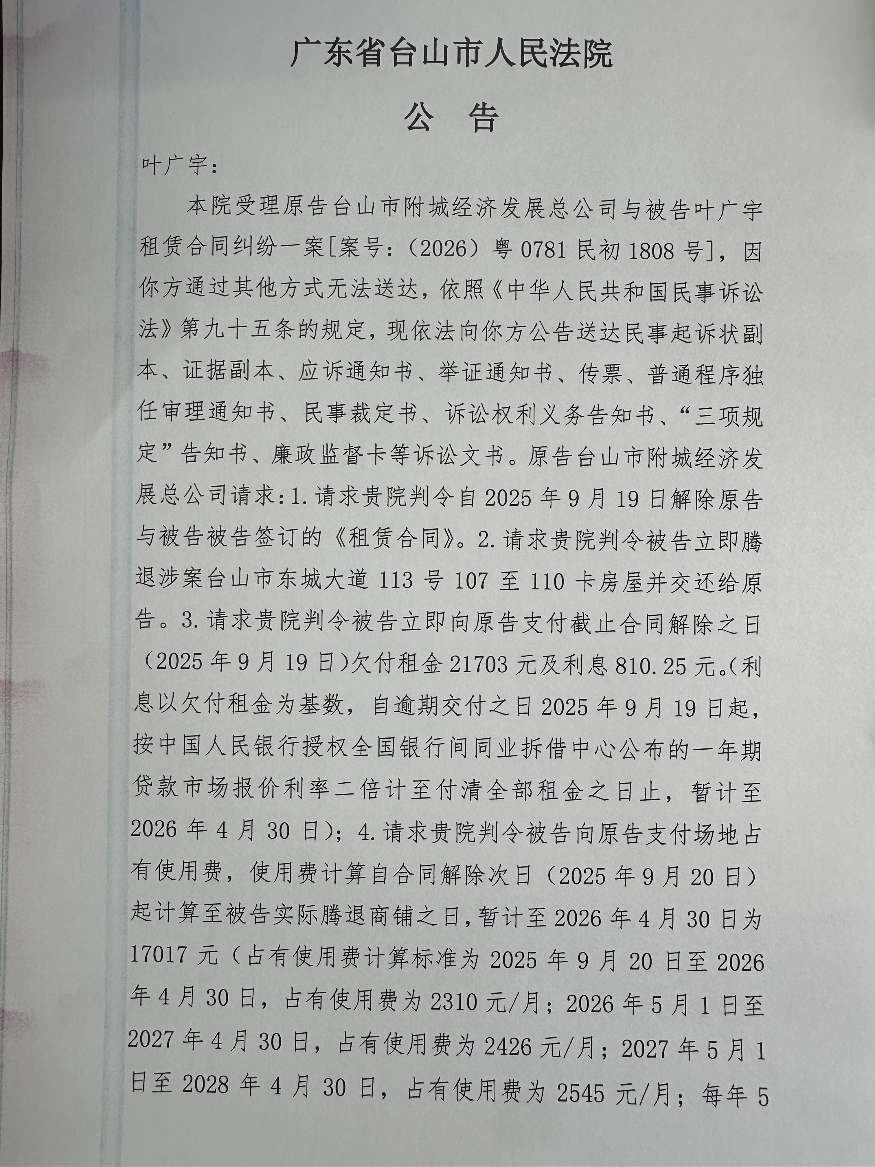
(2026)粤0781民初1808号
来源: 台山市人民法院 时间:2026-04-20 16:21